NGUYỄN TẤN DŨNG
QUÁ TRÌNH VÀ THIẾT BỊ
CÔNG NGHỆ HÓA HỌC VÀ THỰC PHẨM
TẬP 2
CÁC QUÁ TRÌNH VÀ THIẾT BỊ TRUYỀN NHIỆT
PHẦN 1
CƠ SỞ LÝ THUYẾT VỀ TRUYỀN NHIỆT
NHAØ XUAÁT BAÛN
ÑAÏI HOÏC QUOÁC GIA TP. HOÀ CHÍ MINH
NGUYỄN TẤN DŨNG
QUÁ TRÌNH VÀ THIẾT BỊ
CÔNG NGHỆ HÓA HỌC VÀ THỰC PHẨM
Tập 2
CÁC QUÁ TRÌNH VÀ THIẾT BỊ TRUYỀN NHIỆT
PHẦN 1
CƠ SỞ LÝ THUYẾT VỀ TRUYỀN NHIỆT
NHÀ XUẤT BẢN ĐẠI HỌC QUỐC GIA
THÀNH PHỐ HỒ CHÍ MINH - 2024
1
2
LỜI NÓI ĐẦU
Cuốn sách Quá trình và Thiết bị trong Công nghệ hóa học và Thực
phẩm, Tập 2, Các Quá trình và Thiết bị truyền nhiệt (Kỹ thuật thực phẩm
2) được biên soạn không ngoài mục đích làm một giáo trình giảng dạy cho
sinh viên, học viên ở Trường Đại học Sư phạm Kỹ thuật TP.HCM và cũng
có thể ở các trường đại học thuộc khối kỹ thuật khác trong các lĩnh vực
Công nghệ hóa học, Công nghệ thực phẩm, Công nghệ nhiệt, Công nghệ
môi trường và một số ngành kỹ thuật khác có liên quan.
Cuốn sách Tập 2, Quá trình và Thiết bị truyền nhiệt gồm 3 phần:
Phần 1 - Cơ sở lý thuyết về truyền nhiệt (5 chương) Phần 2 - Các quá trình
và thiết bị truyền nhiệt (3 chương) Phần 3 - Các quá trình và thiết bị làm
lạnh, làm lạnh đông (5 chương). Cuốn sách mang lại lợi ích cho các độc
giả đồng thời phục vụ sinh viên, học viên các trường đại học có thể tham
khảo, tìm hiểu, tra cứu và nghiên cứu về các Lý thuyết truyền nhiệt và Các
quá trình và thiết bị truyền nhiệt.
Qua đây, tác giả xin chân thành cám ơn các thầy PGS.TS. Nguyễn
Văn Sức (Khoa CNHH&ampTP), PGS.TS. Thái Bá Cần, PGS.TS. Đỗ Văn
Dũng (BGH Trường ĐHSPKT TP.HCM), đặc biệt là Bộ Môn: Công nghệ
Thực phẩm, Khoa CNHH&ampTP, Trường Đại học Sư phạm Kỹ thuật
TP.HCM đã khuyến khích, ủng hộ tác giả cho ra đời cuốn sách này.
Vì khối lượng kiến thức trong nội dung của cuốn sách này khá lớn
nên quá trình biên soạn không tránh khỏi những hạn chế. Tác giả rất mong
các độc giả chân thành góp ý để cuốn sách này ngày càng hoàn thiện hơn
trong lần tái bản tiếp theo.
Mọi phản hồi xin gửi về địa chỉ Email:
[email protected].
vn. Tác giả xin chân thành cám ơn.
Tác giả
3
4
MỤC LỤC
LỜI NÓI ĐẦU........................................................................................... 3
DANH MỤC BẢNG............................................................................... 14
DANH MỤC HÌNH................................................................................. 15
CHƯƠNG 0: MỘT SỐ KIẾN THỨC TOÁN HỌC ỨNG DỤNG
GIẢI BÀI TOÁN TRUYỀN NHIỆT............................................
...
...
7
0.7942
0.7745
0.7654
0.7371
0.7194
0.7024
0.6859
0.6700
0.6546
0.6397
0.6253
0.6114
0.5979
0.5848
0.5721
0.5589
0.68
0.69
0.70
0.71
0.72
0.73
0.74
0.75
0.76
0.77
0.78
0.79
0.80
0.81
0.82
0.83
0.84
0.85
0.86
0.87
0.88
0.89
0.90
0.91
0.92
0.93
0.94
0.95
0.96
0.97
0.98
0.99
1.00
1.10
-
0.3883
0.3810
0.3738
0.3668
0.3599
0.3532
0.3467
0.3403
0.3341
0.3280
0.3221
0.3163
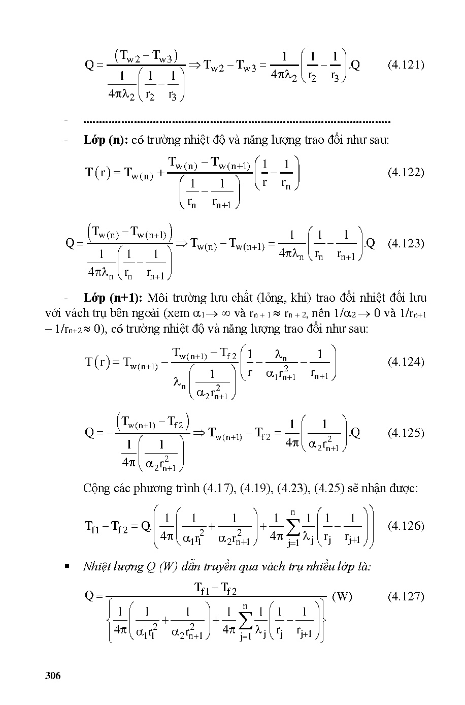
0.3106
0.3050
0.2996
0.2943
0.2891
0.2840
0.2790
0.2742
0.2694
0.2647
0.2602
0.2557
0.2513
0.2470
0.2429
0.2387
0.2347
0.2308
0.2269
0.2231
0.2194
0.18599
-
2.80
2.90
3.00
3.10
3.20
3.30
3.40
3.50
3.60
3.70
3.80
3.90
4.00
4.10
4.20
4.30
4.40
4.50
4.60
4.70
4.80
4.90
5.00
6.00
7.00
8.00
9.00
10.0
11.0
12.0
13.0
14.0
15.0
-
0.01482
0.013048
0.013048
0.011494
0.010133
0.008939
0.007891
0.006970
0.006160
0.005448
0.004828
0.004267
0.003778
0.003349
0.002969
0.002333
0.002336
0.002078
0.001841
0.001635
0.001453
0.001291
0.001148
3.601E-04
1.155E-04
3.768E-05
1.245E-06
4.157E-06
1.400E-06
4.751E-07
1.622E-07
5.566E-08
1.918E-09
-
PHỤ LỤC 5
Đồ thị P – h của môi chất lạnh R22, R134A, R404A, R407C, R410A, R717
(Amoniac), R744 (Carbon dioxide) sử dụng trong các chu trình lạnh
399
400
401
402
403
404
405
406
Quá trình và thiết bị công nghệ hóa học và thực phẩm Tập 2
Các quá trình và thiết bị truyền nhiệt
Phần 1 Cơ sở lý thuyết về truyền nhiệt
Nguyễn Tấn Dũng
Trường Đại học Sư phạm Kỹ thuật Thành phố Hồ Chí Minh
NHÀ XUẤT BẢN ĐẠI HỌC QUỐC GIA THÀNH PHỐ HỒ CHÍ MINH
Phòng 501, Nhà Điều hành ĐHQG-HCM, P. Linh Trung, TP Thủ Đức, TP.HCM.
ĐT: 028 62726361
E-mail:
[email protected]
Website: vnuhcmpress.edu.vn
Chịu trách nhiệm xuất bản và nội dung
TS ĐỖ VĂN BIÊN
Biên tập
TRẦN THỊ ĐỨC LINH
Sửa bản in
ÁI NHẬT
Trình bày bìa
TRƯỜNG ĐẠI HỌC SƯ PHẠM KỸ THUẬT THÀNH PHỒ HỒ CHÍ MINH
Đối tác liên kết
TRƯỜNG ĐẠI HỌC SƯ PHẠM KỸ THUẬT THÀNH PHỒ HỒ CHÍ MINH
Tái bản lần thứ 1 có chỉnh sửa, bổ bung. Số lượng in: 200 cuốn, khổ 16 x
24cm. Số XNĐKXB: 2797-2023/CXBIPH/2-46/ĐHQGTPHCM. QĐXB số:
178/QĐ-NXB-TB cấp ngày 29/12/2023. In tại: Công ty TNHH In &amp Bao bì
Hưng Phú. Địa chỉ: 162A/1, KP1A, phường An Phú, TP Thuận An, tỉnh Bình
Dương. Nộp lưu chiểu: Năm 2023. ISBN: 978-604-479-117-3.
Bản quyền tác phẩm đã được bảo hộ bởi Luật Xuất bản và Luật Sở hữu trí tuệ
Việt Nam. Nghiêm cấm mọi hình thức xuất bản, sao chụp, phát tán nội dung
khi chưa có sự đồng ý của tác giả và Nhà xuất bản.
ĐỂ CÓ SÁCH HAY, CẦN CHUNG TAY BẢO VỆ TÁC QUYỀN!
NXB ĐHQG-HCM
ISBN: 978-604-479-117-3
9 786044 791173