KỸ THUẬT NHIỆT LẠNH
Tên môn học: Kỹ Thuật Nhiệt Lạnh
Giá: 0đ
0đ
Chi tiết
tài liệu :
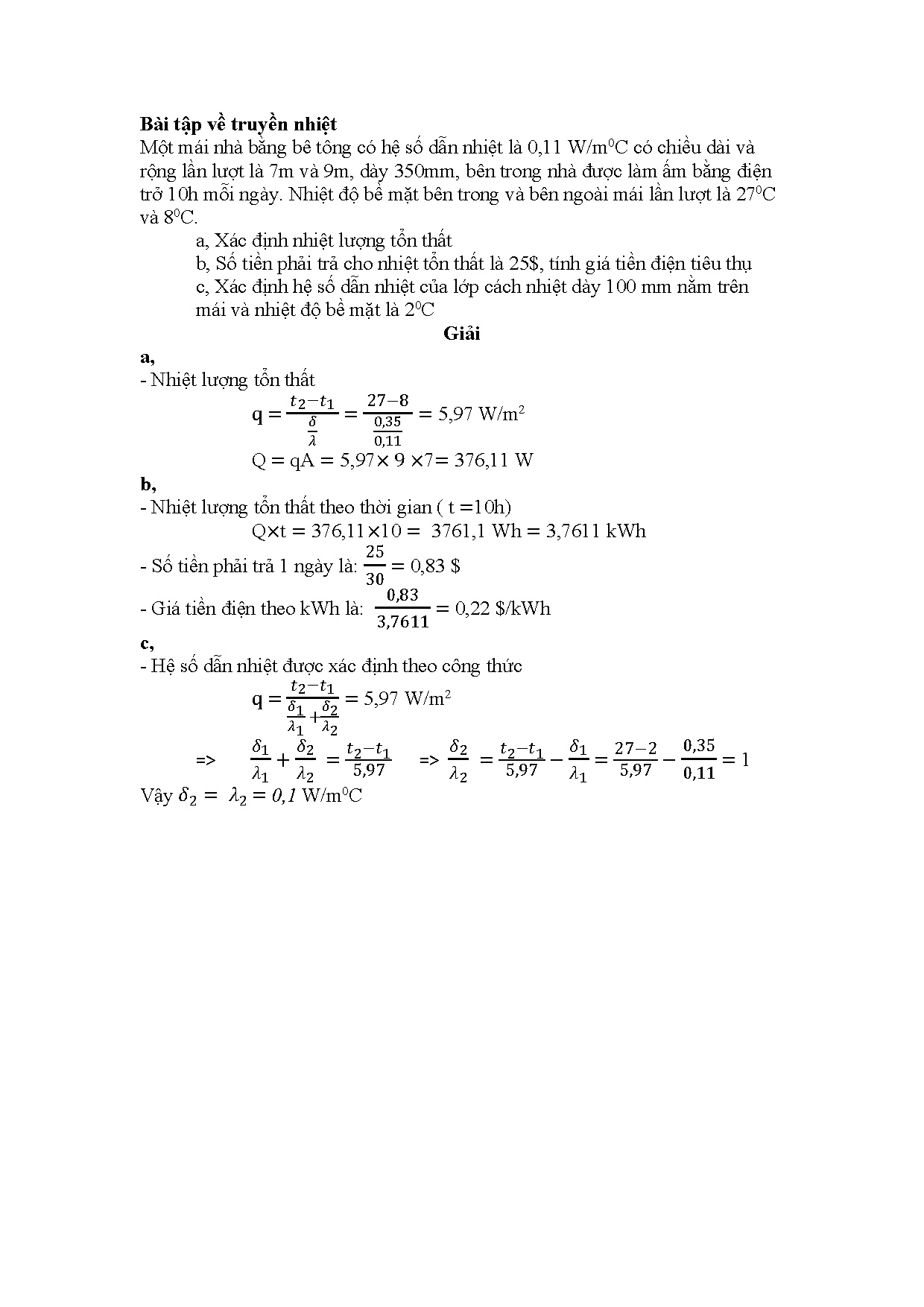
Câu hỏi tóm tắt trọng điểm môn kỹ thuật nhiệt lạnh
| Định dạng | |
| Dung lượng | 1.35 MB |
| Số trang | 11 |
| Ngành Ngành học chỉ mang tính chất tham khảo | HTKT công trình xây dựng |
| Lượt xem | 97 |
| Ngày đăng | 09/08/2025 |
KỸ THUẬT NHIỆT LẠNH
CHU TRÌNH MÁY LẠNH 1 CẤP
I. HÀNH TRÌNH KHÔ DÙNG VAN TIẾT LƯU
1-2: Nén đoạn nhiệt, đẳng Entropy
2-3: Quá trình Ngưng tụ đẳng áp
3-4: Quá trình tiết lưu đẳng Enthalpy
4-1: Quá trình bay hơi đẳng áp
- Nguyên lý làm việc:
M...
CHU TRÌNH MÁY LẠNH 1 CẤP
I. HÀNH TRÌNH KHÔ DÙNG VAN TIẾT LƯU
1-2: Nén đoạn nhiệt, đẳng Entropy
2-3: Quá trình Ngưng tụ đẳng áp
3-4: Quá trình tiết lưu đẳng Enthalpy
4-1: Quá trình bay hơi đẳng áp
- Nguyên lý làm việc:
M...
Một số trang tài liệu:
Trang 1
Trang 2
Trang 5
Trang 8
Trang 11