TRÌNH BÀY: NGUYỄN THÀNH PHÁT
ADMIN SHARKS
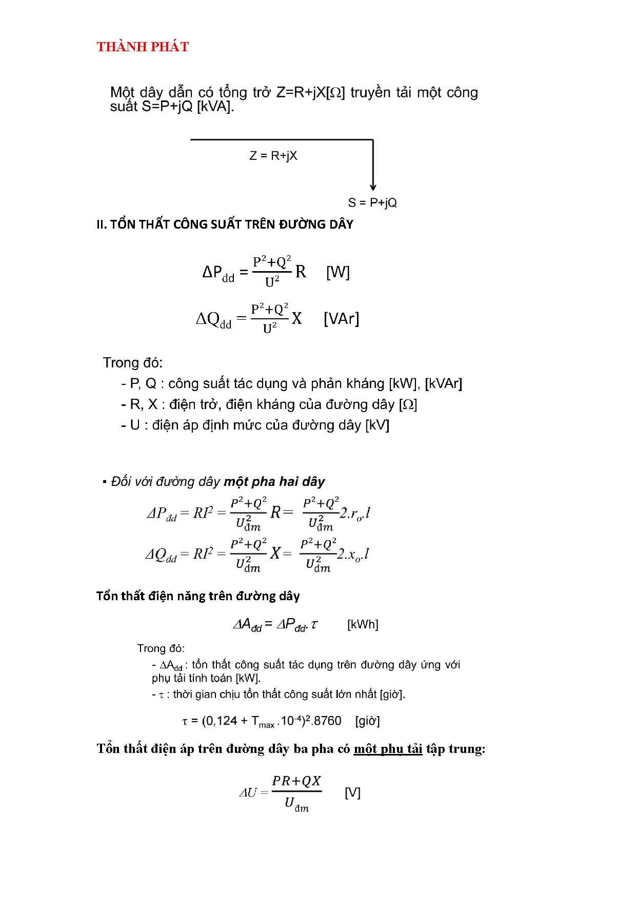
BÀI TẬP ĐIỆN CÔNG TRÌNH
BÀI TẬP 1: VẼ SƠ ĐỒ PHỤ TẢI ĐIỆN
Cho hai sơ đồ biểu hiện mức sử dụng điện theo hai mùa trong năm,
mùa khô có 270 ngày và mùa mưa có 95 ngày. Hãy xác định các đại lượng A,
Ptb, Kdk, Tmax, và hãy vẽ biểu đồ thể hiện công suất và thời gian sử dụng điện
trong năm.
Giải
- Đầu tiên phải vẽ được sơ đồ để xác định được Ptb và dùng nó để tìm các đại
lượng còn lại
- Ta có công thức: Pi → Ti = ��� �� + ��� ��
Trong đó:
t là số giờ hoạt động của phụ tải
n là số ngày làm việc
- Ta chọn xét từ P = 100 kW trở xuống ( có thể làm ngược lại)
+ P1 = 100 → T1 = �1� �1 + �2� �2 = 0 ×270 + 4 × 95 = 380 h
+ P2 = 80 → T2 = 8 × 270 + 8 × 95 = 2920 h
+ P3 = 60 → T3 = 12 × 270 + 4× 95 = 3620 h
+ P4 = 40 → T4 = 0 × 270 + 8 × 95 = 760 h
+ P5 = 20 → T5 = 4 × 270 + 0 × 95 = 1080 h
- Lưu ý khi vẽ đồ thị: là phải cộng dồn tất cả những gì ở phía trước nó tạo
thành một đường thẳng kéo dài tới 8760. Ví dụ: 380 + 2920 = 3300
ĐỒ THỊ PHỤ TẢI ĐIỆN TRONG NĂM
TÀI LIỆU CHỈ MANG TÍNH CHẤT THAM KHẢO
NGHIÊM CẤM HÀNH VI DÙNG TÀI LIỆU ĐỂ TRỤC LỢI VÌ MỤC ĐÍCH RIÊNG
TRÌNH BÀY: NGUYỄN THÀNH PHÁT
ADMIN SHARKS
Tính các giá trị còn lại:
- Tính A = �� ��
A = 100 × 380 + 80 × 2920 + 60 × 3620 + 40 × 760 + 20 × 1080
→ A = 540800 kWh
-Tính Ptb =
- Tính kdk =
�
����
���
����
- Tính Tmax =
�
→ Ptb =
→ kdk =
����
540800
8760
61,74
100
→ Tmax =
= 61,74 kW
= 0,6174
540800
100
= 5408 h
TÀI LIỆU CHỈ MANG TÍNH CHẤT THAM KHẢO
NGHIÊM CẤM HÀNH VI DÙNG TÀI LIỆU ĐỂ TRỤC LỢI VÌ MỤC ĐÍCH RIÊNG
TRÌNH BÀY: NGUYỄN THÀNH PHÁT
ADMIN SHARKS
BÀI TẬP 2:
Cho bảng thông tin về số thiết bị dùng điện ở một xưởng như sau:
Tủ
DB1
DB2
DB3
DB4
DB5
Thiết bị
Máy tiện
Máy phang
Máy bào
Máy khoan
Máy dập
Pdm (kW)
10
7
6
2
8
Số lượng
7
6
5
10
4
Cosφ
0,85
0,8
0,75
0,8
0,75
Biết Udm = 380/220V, và có hệ số sử dụng Ku = 0,8, hãy tính Ptt
Ta có:
Ptt = �� ��
���
GIẢI
Trong đó: Ks là hệ số đồng thời (tra bảng)
TÀI LIỆU CHỈ MANG TÍNH CHẤT THAM KHẢO
NGHIÊM CẤM HÀNH VI DÙNG TÀI LIỆU ĐỂ TRỤC LỢI VÌ MỤC ĐÍCH RIÊNG
ε%
100
100
100
100
49
TRÌNH BÀY: NGUYỄN THÀNH PHÁT
ADMIN SHARKS
- Tính toán cho từng đại lượng của bảng:
Ptt-DB1 = Ks Ku Pdm = 0,7 × 0,8 × 7 × 10 = 39,2 kW
Ptt-DB2 = 0,7 × 0,8 × 7 × 6 = 23,52 kW
Ptt-DB3 = 0,8 × 0,8 × 6 × 5 = 19,2 kW
Ptt-DB4 = 0,6 × 0,8 × 2 × 10 = 9,6 kW
- Riêng tại DB5, hệ số ε% không đạt hiệu suất làm việc 100% cho nên ta cần
tính lại Pdm
Như vậy:
P’dm = Pdm �% = 8 49% = 5,6 kW
→ Ptt-DB5 = 0,8 × 0,8 × 4 × 5,6 = 14,34 kW
- Tính Ptt-MDB = �� ���−���
Có 5 tủ điện cùng làm việc nên Ks = 0,8
Ptt-MDB = 0,8 × (39,2 + 23,52 + 19,2 + 9,6 + 14,34)
→ Ptt-MDB = 84,69 kW
- Tính Cosφtb
Cos�tb =
����� ���
���
- Công suất biểu kiến:
Stt =
=
���
10×0,85+7×0,8+6×0,75+2×0,8+5,6×0,75
10+7+6+2+5,6
������
=
84,69
0,8
= 105,86 kVA
- Công suất biểu kháng (vô công):
Qtt = Stt × sinφtb = 105,86 × 0,6 = 63,52 kVAr
- Dòng điện qua dây dẫn: Udm = 380/220V (dây/pha)
Itt =
�
3��
=
�
3�� ����
=
�
3�� ����
=
105,86
3×220
TÀI LIỆU CHỈ MANG TÍNH CHẤT THAM KHẢO
NGHIÊM CẤM HÀNH VI DÙNG TÀI LIỆU ĐỂ TRỤC LỢI VÌ MỤC ĐÍCH RIÊNG
= 0,16 kA
= 0,8
TRÌNH BÀY: NGUYỄN THÀNH PHÁT
ADMIN SHARKS
Bài tập:
Câu 1: một phân xưởng cơ khí có:
Tủ
Thiết bị
Pdm (kW)
DB1
Máy Dập
10
DB2
Máy Mài
4
DB3
Máy Tiện
7
DB4
Máy Cưa
3
DB5
Máy khoan
1
DB6
Máy BA Hàn
12 KVA
Số lượng
5
3
6
4
10
2
Cosφ
0,7
0,75
0,8
0,85
0,8
0,75
ε%
100
100
100
100
100
36
Biết Udm = 380/220V, và có hệ số sử dụng Ku = 0,8
- Xác định phụ tải tính toán ��� , ��� , ��� và ��� của phân xưởng theo IEC
- Chọn dung lượng máy biến áp cho phân xưởng
GIẢI
Ptt = �� ��
Ta có:
���
Trong đó: Ks là hệ số đồng thời (tra bảng)
- Tính toán cho từng đại lượng của bảng:
Ptt-DB1 = Ks Ku Pdm = 0,8 × 0,8 × 5 × 10 = 32 kW
Ptt-DB2 = 0,9 × 0,8 × 3 × 4 = 8,64 kW
Ptt-DB3 = 0,7 × 0,8 × 6 × 7 = 23,52 kW
Ptt-DB4 = 0,8 × 0,8 × 4 × 3 = 7,68 kW
Ptt-DB5 = 0,6 × 0,8 × 10 × 1 = 4,8 kW
- Đối với Ptt-DB6
Sdm = 12 KVA → ��� = ��� × ���� = 12 × 0,75 = 9 kW
Hiệu suất của DB6 không đạt 100% nên cần phải chuyển đổi Pdm
P’dm = Pdm �% = 9 36% = 5,4 kW
Vậy Ptt-DB6 = 0,9 × 0,8 × 2 × 5,4 = 7,78 kW
- Tính Ptt-MDB = ��
���−���
Có 6 tủ đi
...
--------------------------------------
...
5
6
7
8
9
10
11
12
1
0.8
0.7
0.65
0.6
0.57
0.54
0.52
0.5
0.45
0.41
0.38
BẢNG TRA HỆ SỐ K6 THEO TÍNH CHẤT CỦA ĐẤT
Tính chất của đất
Hệ số K6
Rất ướt (Bão hòa)
1.21
Uớt
1.13
Ẩm
1.05
Khô
1
Rất khô
0.86
BẢNG TRA HỆ SỐ K7 THEO TÍNH CHẤT CỦA ĐẤT
Với: XLPE : Butyl polyethylene & EPR : Cao su Ethylene propylene
Nhiệt độ môi trường [ C]
o
10
15
20
25
30
35
40
45
50
55
60
Hệ số K6
Cách điện
PVC
XLPE, EPR
1.10
1.07
1.05
1.04
1
1
0.95
0.96
0.89
0.93
0.84
0.89
0.77
0.85
0.71
0.8
0.63
0.76
0.55
0.71
0.45
0.65
Article written by: Nguyễn Thành Phát
Photo Editor by: Anh Thắng
BÀI TẬP CHƯƠNG 6 – 9: TÍNH TỔN THẤT VÀ CHỌN DÂY DẪN
Câu 1: Tính chọn dây dẫn, cáp theo điều kiện phát nóng cho phép của 3 dây cáp nhôm
1 lõi bọc cách điện chôn dưới đất , đặt trong ống ngầm cùng với 6 dây cáp đa lõi khác ,
đất ẩm có nhiệt độ -300C cho phụ tải như hình vẽ.
Tính tổn thất cho công suất tác dụng, công suất phản kháng và tổn thất điện
năng theo điều kiện phát nóng , Biết Tmax = 3000 giờ ( bài tập chọn dây dẫn C9)
-
2
Phụ tải tính toán: ???????????? = √????????????2 + ????????????
= √402 + 302 = 50 ????????????
-
???????????? =
-
Chọn dây dẫn theo điều kiện phát nóng:
????????????
????????????
=
50
√3×0,22
= 131,21 A
Dây chôn trong đất và có ????đ???? ≤ 1000 ???? : ????đ???????????? ≥
????????????????????????
????4 ×????5 ×????6 ×????7
Trong đó : tra bảng các đại lượng dưới đây
+ Dây đặt trong ống ngầm : ????4 = 0,8
+ 3 dây 1 lõi + 6 dây đa lõi = 7 mạch → ????5 = 0,54
+ Đất ẩm: ????6 = 1,05
+ Cách điện PVC làm việc ở nhiệt độ 300C: ????7 = 0,89
Thay các đại lượng trên vào công thức:
????đ???????????? ≥
????????????????????????
????4 ×????5 ×????6 ×????7
=
131,21
= 325,02 A
0,8×0,54×1,05×0,89
→ Tra bảng chọn dây AV185 có ????đ???????????? = 348 ????
????đ???????????? = 220/127????
Dây AV185 (tra bảng dây dưới 500V) → ????0 = 0,18 Ω/????????, ????0 = 0,06 Ω/????????
-
Tổn thất công suất tác dụng và phản kháng:
Δ???? =
Δ???? =
????2 +???? 2
????2
????2 +???? 2
????2
×????=
×???? =
402 +302
× 0,3 × 0,18 = 2789 W
0,222
402 +302
0,222
× 0,3 × 0,06 = 929,8 Var
- Trang 1 -
Article written by: Nguyễn Thành Phát
Photo Editor by: Anh Thắng
-
Tổn thất điện áp:
Δ???? = Δ???? × ????
Trong đó: ???? = (0,124 + ???????????????? × 10−4 )2 × 8760
???? = (0,124 + 3000 × 10−4 )2 × 8760 = 1574,8 h
Vậy: Δ???? = Δ???? × ???? = 2789 ×1574,8 = 4392117 Wh = 4392,1 ????????ℎ
Câu 2: Tính tổn thất điện áp trên doạn dây sau:
Một dây cung cấp cho phụ tải [kW], chiều dài dây dẫn là [m], tiết diện dây dẫn
[????????2 ], như hình vẽ. dây cáp dùng dây đồng trần 1 lõi bọc cách điện CV, tìm tổn thất
điện áp Δ????% lớn nhất trong mạng điện với ????đ???? = 220/127???? và ????đ???? = 380/220????
-
Có hai cách để làm bài này:
+ Tính tổn thất từ A-B, A-C, A-D
+ Tính tổn thất từng đoạn AI, IC, IB, ID
→ Recommend chọn cách 2 để làm cho dễ và nhanh chóng hơn đỡ phức tạp
Giải
-
Tra bảng dây ( dưới 500V):
+ Dây CV - 6: ????0 = 3,33 Ω/????????
+ Dây CV - 10: : ????0 = 2,0 Ω/????????
+ Dây CV - 16: : ????0 = 1,25 Ω/????????
- Trang 2 -
Article written by: Nguyễn Thành Phát
Photo Editor by: Anh Thắng
∗ ????????ườ???????? ????ợ???? ????đ???? = ????????????/????????????????
-
Tổn thất trên đoạn ΔIB, dây CV-6
Δ???????????? =
=
100
Σ???????? ????????
2
1000????đ????
100
1000×0,222
[4,5 × 30 + 3 × 30 + 1,5 × 30] × 3,33 × 10−3
→ Δ???????????? = 1,86%
-
Tổn thất trên đoạn ΔIC, dây CV-10
100
Δ???????????? =
=
Σ???????? ????????
2
1000????đ????
100
1000×0,222
[2,4 × 40 + 2,1 × 40 + 1,8 × 40 × 1,5 × 40] × 2,0 × 10−3
→ Δ???????????? = 1,29%
-
Tổn thất trên đoạn ΔID, dây CV-10
Δ???????????? =
=
100
Σ???????? ????????
2
1000????đ????
100
1000×0,222
[3,5 × 60 + 3 × 40 + 1,5 × 60] × 2,0 × 10−3
→ Δ???????????? = 1,74%
-
Tổn thất trên đoạn ΔAI, dây CV-16
Δ???????????? =
=
100
2
1000????đ????
100
1000×0,222
Σ???????? ????????
[12,4 × 70 + 11,9 × 20 + 11,4 × 20 × 10,9 × 30]. 1,25. 10−3
→ Δ???????????? = 4,29%
→ Vậy tổn thất lớn nhất trên đoạn AB với:
Δ????% = Δ???????????? + Δ???????????? = 4,29% + 1,86% = 6,15%
∗ ????????ườ???????? ????ợ???? ????đ???? = ????????????/????????????????
Δ????% =
100
100
100
2 Σ???????? ???????? =
???? Σ???????? ????????
???? Σ???????? ???????? =
1000????đ????
????????????????×????×????,????????
√
????????????????×( ????×????,????????)
- Trang 3 -
Article written by: Nguyễn Thành Phát
Photo Editor by: Anh Thắng
→ Chỉ cần lấy kết quả tính ở trên sau đó chia thêm 3 vào:
-
Tổn thất trên đoạn ΔIB, dây CV-6: → Δ???????????? = 1,86%÷ 3 = 0,62%
-
Tổn thất trên đoạn ΔIC, dây CV-10: → Δ???????????? = 1,29% ÷ 3 = 0,43%
-
Tổn thất trên đoạn ΔID, dây CV-10: → Δ???????????? = 1,74% ÷ 3 = 0,58%
-
Tổn thất trên đoạn ΔAI, dây CV-16: → Δ???????????? = 4,29% ÷ 3 = 1,43%
⟹ Vậy tổn thất lớn nhất trên đoạn AB với:
Δ????% = Δ???????????? + Δ???????????? = 1,43% + 0,62% = 2,05%
- Trang 4 -