Đồ án tốt nghiệp - Tổ hợp trung tâm thương mại và chung cư quốc tế Roytower
Tên môn học: Khóa luận tốt nghiệp
Giá: 81.000đ
81.000đ
Chi tiết
tài liệu :
Đồ án tốt nghiệp ngành Công nghệ Kỹ thuật công trình xây dựng - Tổ hợp trung tâm thương mại và chung cư quốc tế Roytower - Trường Đại học Sư phạm Kỹ thuật Thành phố Hồ Chí Minh (HCMUTE)
| Định dạng | |
| Dung lượng | 13.23 MB |
| Số trang | 166 |
| Ngành Ngành học chỉ mang tính chất tham khảo | CNKT công trình xây dựng |
| Lượt xem | 228 |
| Ngày đăng | 20/01/2026 |
BỘ GIÁO DỤC VÀ ĐÀO TẠO
TRƯỜNG ĐẠI HỌC SƯ PHẠM KỸ THUẬT TP HỒ CHÍ MINH
KHOA XÂY DỰNG
ĐỒ ÁN TỐT NGHIỆP
TỔ HỢP TRUNG TÂM THƯƠNG MẠI
VÀ CHUNG CƯ QUỐC TẾ ROYTOWER
GVHD: PGS.TS. Hà Duy Khánh
SVTH: Nguyễn Thế Ánh
MSSV: 18149...
TRƯỜNG ĐẠI HỌC SƯ PHẠM KỸ THUẬT TP HỒ CHÍ MINH
KHOA XÂY DỰNG
ĐỒ ÁN TỐT NGHIỆP
TỔ HỢP TRUNG TÂM THƯƠNG MẠI
VÀ CHUNG CƯ QUỐC TẾ ROYTOWER
GVHD: PGS.TS. Hà Duy Khánh
SVTH: Nguyễn Thế Ánh
MSSV: 18149...
Một số trang tài liệu:
Trang 1
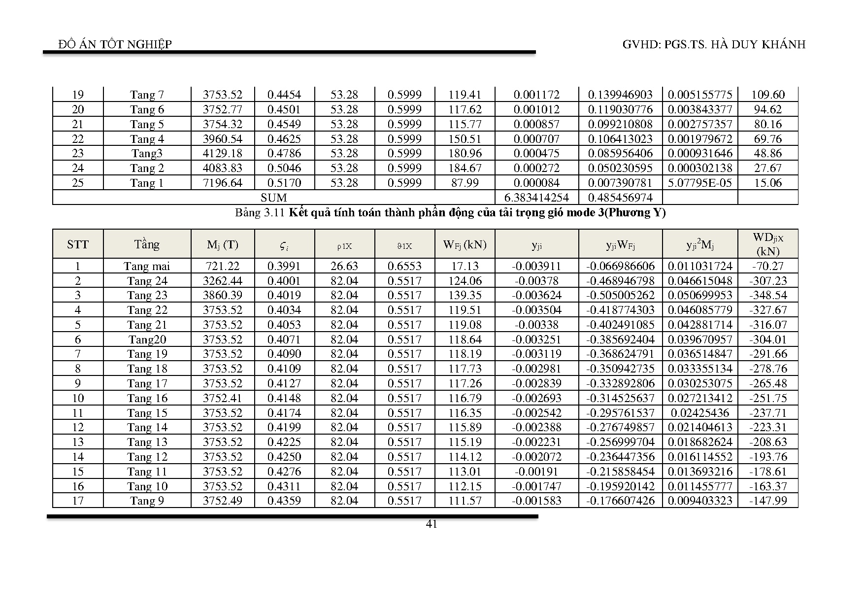
Trang 41
Trang 83
Trang 124
Trang 166