Đồ án tốt nghiệp - Tổ hợp nhà ở - Văn phòng và dịch vụ- Nhà N3
Tên môn học: Khóa luận tốt nghiệp
Giá: 84.000đ
84.000đ
Chi tiết
tài liệu :
Đồ án tốt nghiệp ngành Công nghệ Kỹ thuật công trình xây dựng - Tổ hợp nhà ở - Văn phòng và dịch vụ- Nhà N3 - Trường Đại học Sư phạm Kỹ thuật Thành phố Hồ Chí Minh (HCMUTE)
| Định dạng | |
| Dung lượng | 8.02 MB |
| Số trang | 164 |
| Ngành Ngành học chỉ mang tính chất tham khảo | CNKT công trình xây dựng |
| Lượt xem | 194 |
| Ngày đăng | 13/01/2026 |
TRƯỜNG ĐẠI HỌC SƯ PHẠM KỸ THUẬT
THÀNH PHỐ HỒ CHÍ MINH
KHOA ĐÀO TẠO CHẤT LƯỢNG CAO
ĐỒ ÁN TỐT NGHIỆP
THIẾT KẾ
TỔ HỢP NHÀ Ở - VĂN PHÒNG VÀ DỊCH VỤ - NHÀ N3
GVHD
SVTH
MSSV
Khóa
: ThS. NGUYỄN TỔNG
: VÕ QUANG VIÊN
: 13149320
: 2013 - ...
THÀNH PHỐ HỒ CHÍ MINH
KHOA ĐÀO TẠO CHẤT LƯỢNG CAO
ĐỒ ÁN TỐT NGHIỆP
THIẾT KẾ
TỔ HỢP NHÀ Ở - VĂN PHÒNG VÀ DỊCH VỤ - NHÀ N3
GVHD
SVTH
MSSV
Khóa
: ThS. NGUYỄN TỔNG
: VÕ QUANG VIÊN
: 13149320
: 2013 - ...
Một số trang tài liệu:
Trang 1
Trang 41
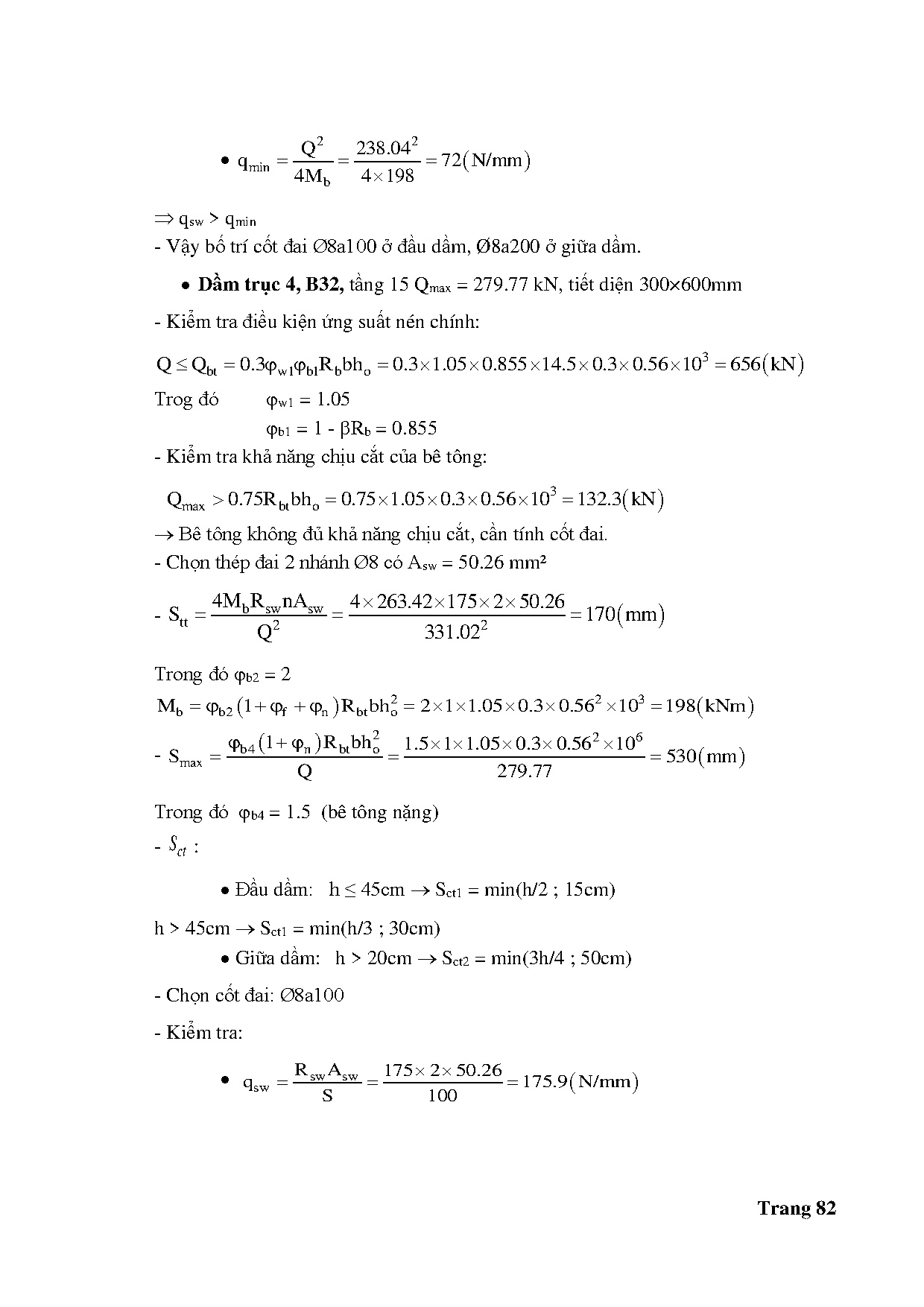
Trang 82
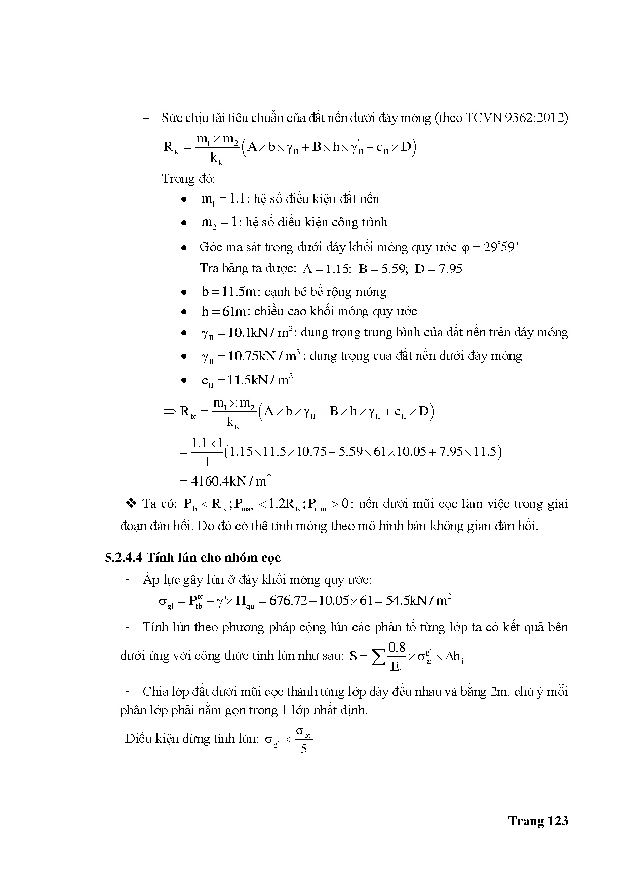
Trang 123
Trang 164