Đồ án tốt nghiệp - Thiết kế chung cư 20 tầng
Tên môn học: Khóa luận tốt nghiệp
Giá: 82.000đ
82.000đ
Chi tiết
tài liệu :
Đồ án tốt nghiệp ngành Công nghệ Kỹ thuật công trình xây dựng - Thiết kế chung cư 20 tầng - Trường Đại học Sư phạm Kỹ thuật Thành phố Hồ Chí Minh (HCMUTE)
| Định dạng | |
| Dung lượng | 9.79 MB |
| Số trang | 141 |
| Ngành Ngành học chỉ mang tính chất tham khảo | CNKT công trình xây dựng |
| Lượt xem | 170 |
| Ngày đăng | 20/01/2026 |
TRƯỜNG ĐẠI HỌC SƯ PHẠM KỸ THUẬT TP. HCM
KHOA XÂY DỰNG
BỘ MÔN CÔNG TRÌNH GIAO THÔNG
-
-
ĐỒ ÁN TỐT NGHIỆP
Đề tài: THIẾT KẾ CHUNG CƯ 20 TẦNG
GVHD: ThS NGUYỄN VĂN KHOA
SVTH: VÕ VĂN TRỌNG
MSSV: 15149124
KHÓA: 2016-2020
Tp.Hồ Chí Minh 2020
�...
KHOA XÂY DỰNG
BỘ MÔN CÔNG TRÌNH GIAO THÔNG
-
-
ĐỒ ÁN TỐT NGHIỆP
Đề tài: THIẾT KẾ CHUNG CƯ 20 TẦNG
GVHD: ThS NGUYỄN VĂN KHOA
SVTH: VÕ VĂN TRỌNG
MSSV: 15149124
KHÓA: 2016-2020
Tp.Hồ Chí Minh 2020
�...
Một số trang tài liệu:
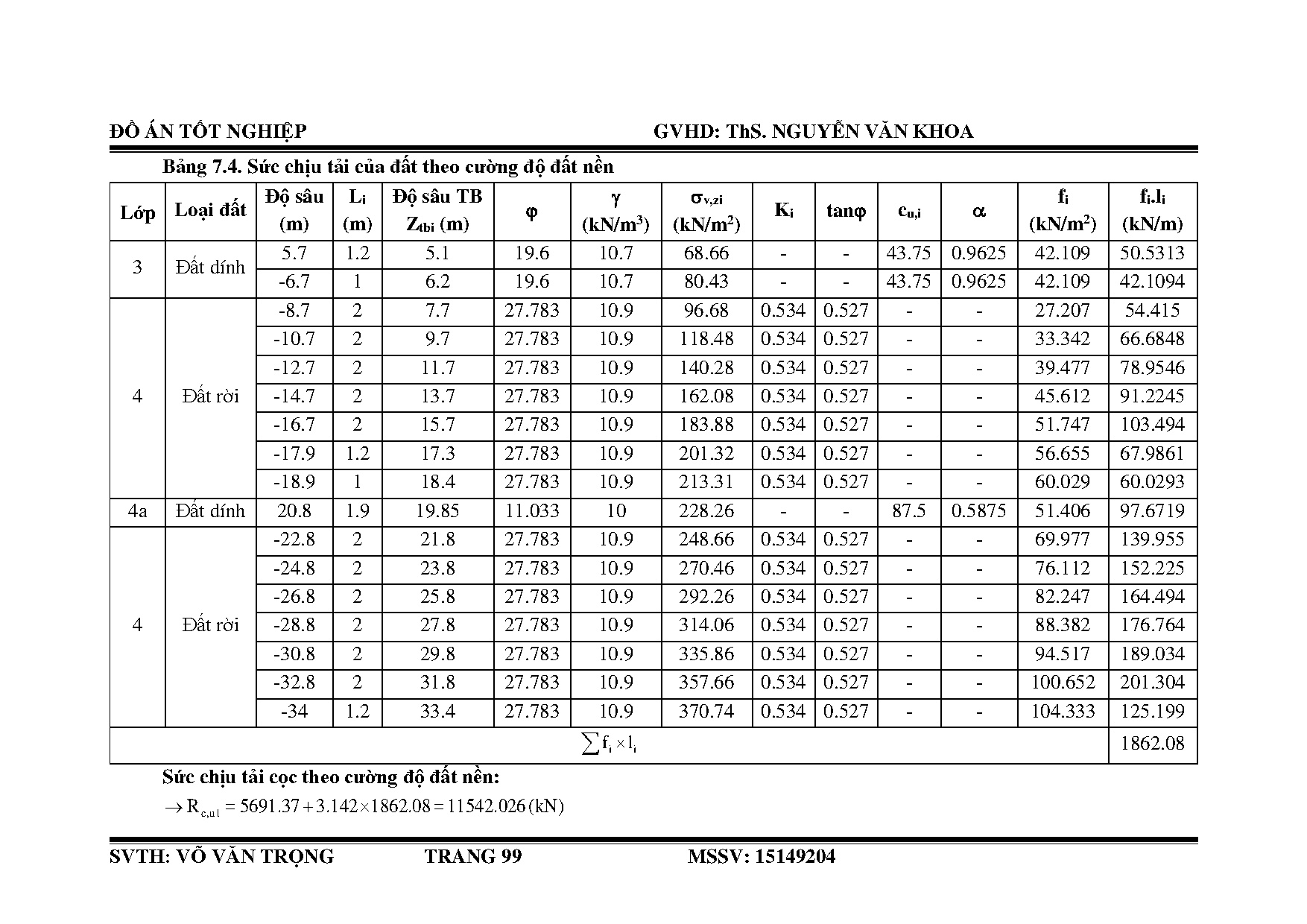
Trang 1
Trang 35
Trang 70
Trang 105
Trang 141