Đồ án tốt nghiệp - Dự án khu căn hộ BCCI
Tên môn học: Khóa luận tốt nghiệp
Giá: 90.000đ
90.000đ
Chi tiết
tài liệu :
Đồ án tốt nghiệp ngành Công nghệ Kỹ thuật công trình xây dựng - Dự án khu căn hộ BCCI - Trường Đại học Sư phạm Kỹ thuật Thành phố Hồ Chí Minh (HCMUTE)
| Định dạng | |
| Dung lượng | 5.7 MB |
| Số trang | 155 |
| Ngành | CNKT công trình xây dựng |
| Lượt xem | 113 |
| Ngày đăng | 22/12/2025 |
BỘ GIÁO DỤC VÀ ĐÀO TẠO
TRƯỜNG ĐẠI HỌC SƯ PHẠM KỸ THUẬT TP HỒ CHÍ MINH
KHOA XÂY DỰNG
ĐỒ ÁN TỐT NGHIỆP
DỰ ÁN KHU CĂN HỘ BCCI
Giảng viên hướng dẫn : PGS.TS Phan Đức Hùng
Sinh viên thực hiện
: Nguyễn Thành Huy
Mã số sinh viên...
TRƯỜNG ĐẠI HỌC SƯ PHẠM KỸ THUẬT TP HỒ CHÍ MINH
KHOA XÂY DỰNG
ĐỒ ÁN TỐT NGHIỆP
DỰ ÁN KHU CĂN HỘ BCCI
Giảng viên hướng dẫn : PGS.TS Phan Đức Hùng
Sinh viên thực hiện
: Nguyễn Thành Huy
Mã số sinh viên...
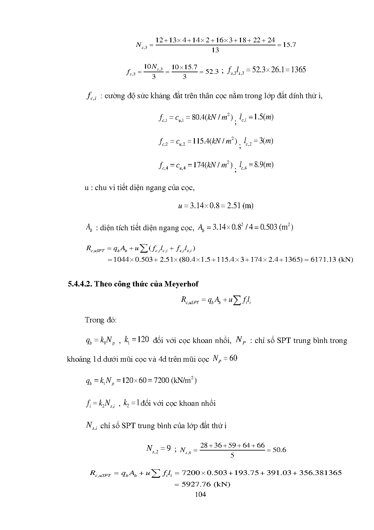
Một số trang tài liệu:
Trang 1
Trang 38
Trang 77
Trang 116
Trang 155