Đồ án tốt nghiệp - Công trình Trung tâm thương mại
Tên môn học: Khóa luận tốt nghiệp
Giá: 90.000đ
90.000đ
Chi tiết
tài liệu :
Đồ án tốt nghiệp ngành Công nghệ Kỹ thuật công trình xây dựng - Công trình Trung tâm thương mại - Trường Đại học Sư phạm Kỹ thuật Thành phố Hồ Chí Minh (HCMUTE)
| Định dạng | |
| Dung lượng | 6.25 MB |
| Số trang | 130 |
| Ngành Ngành học chỉ mang tính chất tham khảo | CNKT công trình xây dựng |
| Lượt xem | 278 |
| Ngày đăng | 20/01/2026 |
BỘ GIÁO DỤC VÀ ĐÀO TẠO
KHOÁ LUẬN TỐT NGHIỆP
CÔNG TRÌNH TRUNG TÂM THƯƠNG MẠI
GVHD: T.S. Nguyễn Minh Đức
SVTH: Hồ Lê Trung Nghĩa
MSSV: 18149276
Học kì 1 – Năm học 2022-2023
Tp. Hồ Chí Minh, ngày 04 thng 02 năm 2023
1
LỜI CẢM ƠN
Đối với mỗi s...
KHOÁ LUẬN TỐT NGHIỆP
CÔNG TRÌNH TRUNG TÂM THƯƠNG MẠI
GVHD: T.S. Nguyễn Minh Đức
SVTH: Hồ Lê Trung Nghĩa
MSSV: 18149276
Học kì 1 – Năm học 2022-2023
Tp. Hồ Chí Minh, ngày 04 thng 02 năm 2023
1
LỜI CẢM ƠN
Đối với mỗi s...
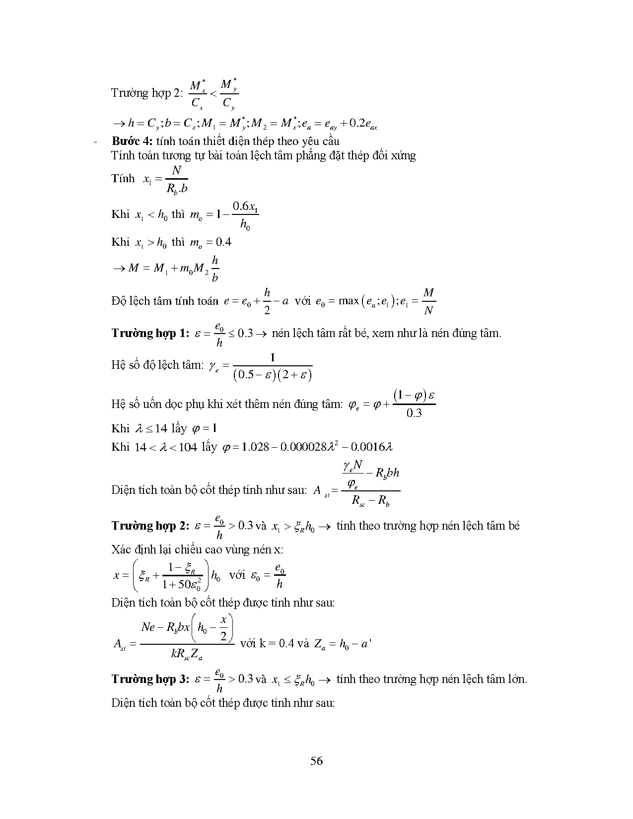
Một số trang tài liệu:
Trang 1
Trang 32
Trang 65
Trang 97
Trang 130