Đồ án tốt nghiệp - Chung cư cao cấp Hope Garden
Tên môn học: Khóa luận tốt nghiệp
Giá: 91.000đ
91.000đ
Chi tiết
tài liệu :
Đồ án tốt nghiệp ngành Công nghệ Kỹ thuật công trình xây dựng - Chung cư cao cấp Hope Garden - Trường Đại học Sư phạm Kỹ thuật Thành phố Hồ Chí Minh (HCMUTE)
| Định dạng | |
| Dung lượng | 6.04 MB |
| Số trang | 111 |
| Ngành Ngành học chỉ mang tính chất tham khảo | CNKT công trình xây dựng |
| Lượt xem | 235 |
| Ngày đăng | 20/01/2026 |
TRƯỜNG ĐẠI HỌC SƯ PHẠM KỸ THUẬT THÀNH PHỐ HỒ CHÍ MINH
KHOA ĐÀO TẠO CHẤT LƯỢNG CAO
ĐỒ ÁN TỐT NGHIỆP
THIẾT KẾ
CHUNG CƯ CAO CẤP HOPE GARDEN
SVTH : TRẦN VĂN HÒE
MSSV : 14149258
Khoá : 2014-2018
Ngành : CÔNG NGHỆ KỸ THUẬT CÔNG TRÌNH XÂY DỰ...
KHOA ĐÀO TẠO CHẤT LƯỢNG CAO
ĐỒ ÁN TỐT NGHIỆP
THIẾT KẾ
CHUNG CƯ CAO CẤP HOPE GARDEN
SVTH : TRẦN VĂN HÒE
MSSV : 14149258
Khoá : 2014-2018
Ngành : CÔNG NGHỆ KỸ THUẬT CÔNG TRÌNH XÂY DỰ...
Một số trang tài liệu:
Trang 1
Trang 27
Trang 55
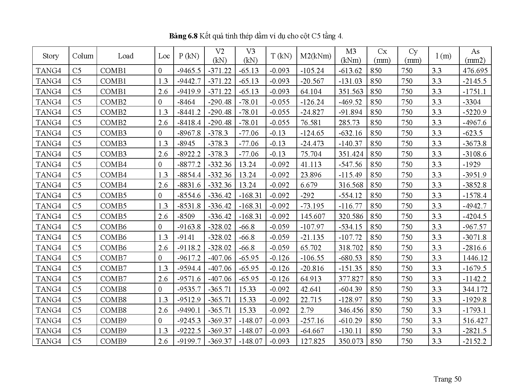
Trang 83
Trang 111