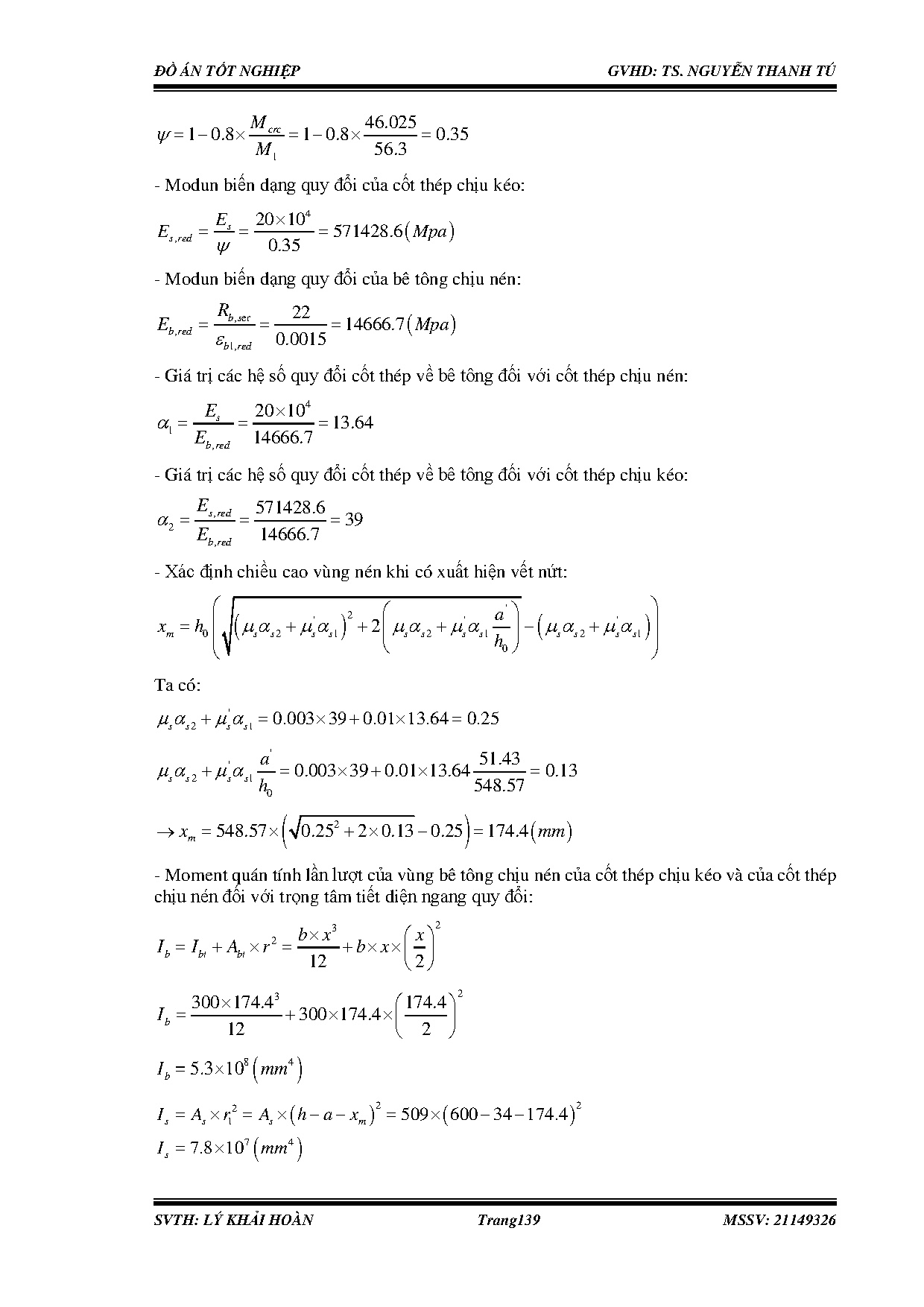
Đồ án tốt nghiệp - Chung cư An Phú Thịnh
Tên môn học: Khóa luận tốt nghiệp
Giá: 100.000đ
100.000đ
Chi tiết
tài liệu :
Đồ án tốt nghiệp ngành Công nghệ Kỹ thuật công trình xây dựng - Chung cư An Phú Thịnh - Trường Đại học Sư phạm Kỹ thuật Thành phố Hồ Chí Minh (HCMUTE)
| Định dạng | |
| Dung lượng | 16.91 MB |
| Số trang | 280 |
| Ngành | CNKT công trình xây dựng |
| Lượt xem | 26 |
| Ngày đăng | 19/12/2025 |
Không có nội dung xem trước
Một số trang tài liệu:
Trang 1
Trang 70
Trang 140
Trang 210
Trang 280