Câu hỏi trắc nghiệm kỹ thuật điện tử (HCMUTE)
Tên môn học: Câu hỏi trắc nghiệm kỹ thuật điện tử
Giá: 0đ
0đ
Chi tiết
tài liệu :
Câu hỏi trắc nghiệm kỹ thuật điện tử (HCMUTE)
| Định dạng | |
| Dung lượng | 6.28 MB |
| Số trang | 186 |
| Ngành Ngành học chỉ mang tính chất tham khảo | CNKT điện tử - viễn thông |
| Lượt xem | 48 |
| Ngày đăng | 06/12/2025 |
ThS VŨ THỊ NGỌC THU
TÀI LIỆU THAM KHẢO
CÂU HỎI TRẮC NGHIỆM
KỸ THUẬT ĐIỆN TỬ
ThS. VŨ THỊ NGỌC THU
CÂU HỎI TRẮC NGHIỆM
KỸ THUẬT ĐIỆN TỬ
(Dành cho Sinh viên các ngành kỹ thuật có liên quan)
NHÀ XUẤT BẢN ĐẠI HỌC QUỐC GIA
THÀNH PH...
TÀI LIỆU THAM KHẢO
CÂU HỎI TRẮC NGHIỆM
KỸ THUẬT ĐIỆN TỬ
ThS. VŨ THỊ NGỌC THU
CÂU HỎI TRẮC NGHIỆM
KỸ THUẬT ĐIỆN TỬ
(Dành cho Sinh viên các ngành kỹ thuật có liên quan)
NHÀ XUẤT BẢN ĐẠI HỌC QUỐC GIA
THÀNH PH...
Một số trang tài liệu:
Trang 1
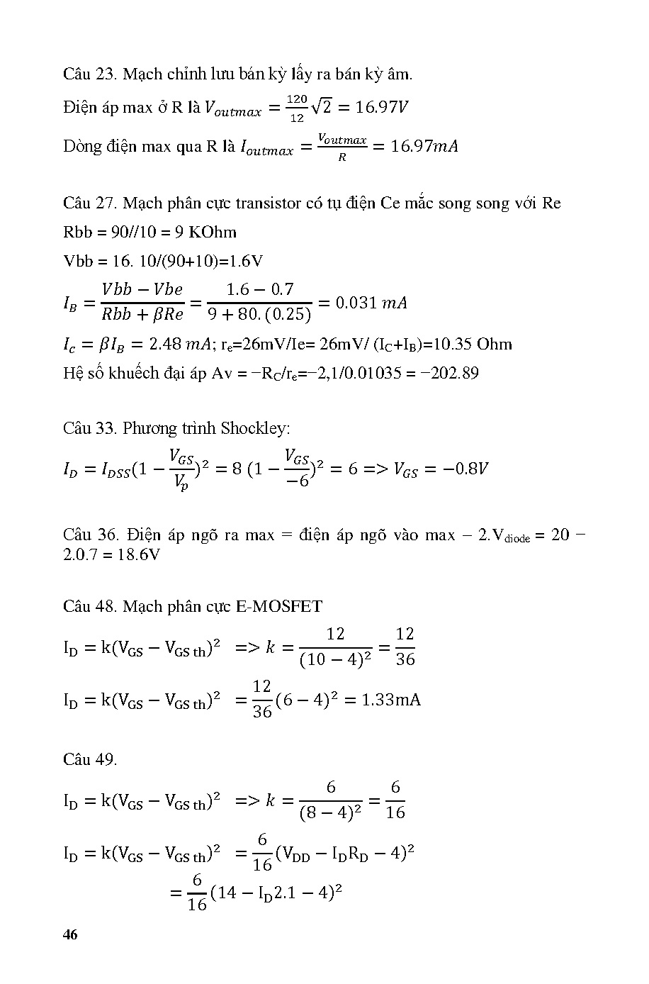
Trang 46
Trang 93
Trang 139
Trang 186