Đồ án tốt nghiệp - Nghiên cứu khả năng mang thuốc từ Silica xốp tự nhiên từ Diatomite
Tên môn học: Khóa luận tốt nghiệp
Giá: 97.000đ
97.000đ
Chi tiết
tài liệu :
Đồ án tốt nghiệp ngành Công nghệ Kỹ thuật hóa học - Nghiên cứu khả năng mang thuốc từ Silica xốp tự nhiên từ Diatomite - Trường Đại học Sư phạm Kỹ thuật Thành phố Hồ Chí Minh (HCMUTE)
| Định dạng | |
| Dung lượng | 5.34 MB |
| Số trang | 56 |
| Ngành Ngành học chỉ mang tính chất tham khảo | CNKT hóa học |
| Lượt xem | 491 |
| Ngày đăng | 24/01/2026 |
BỘ GIÁO DỤC VÀ ĐÀO TẠO
TRƯỜNG ĐẠI HỌC SƯ PHẠM KỸ THUẬT TP. HỒ CHÍ MINH
KHÓA LUẬN TỐT NGHIỆP ĐẠI HỌC
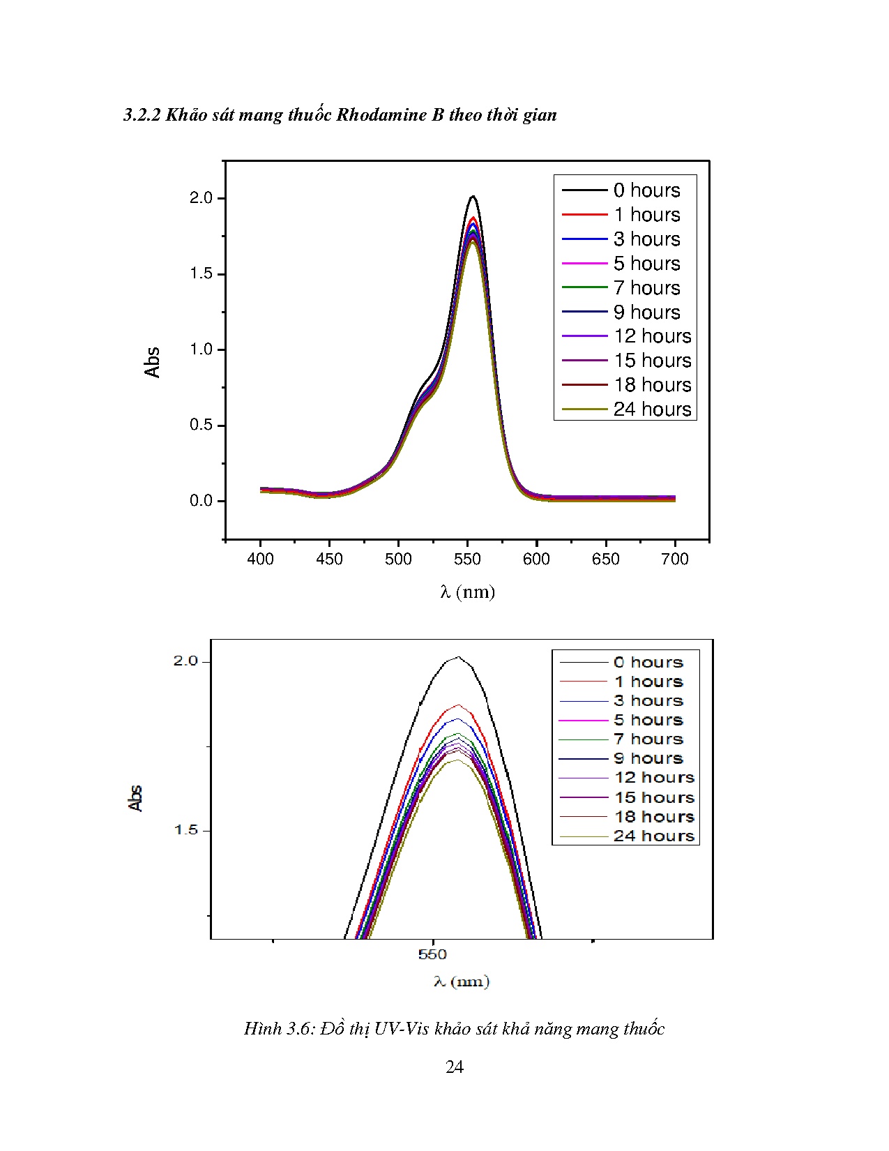
NGHIÊN CỨU KHẢ NĂNG MANG THUỐC
TỪ SILICA XỐP TỰ NHIÊN TỪ DIATOMITE
MÃ SỐ KHÓA LUẬN: VC.19.03
SVTH: NGUYỄN HẢI SƠN
MSSV:...
TRƯỜNG ĐẠI HỌC SƯ PHẠM KỸ THUẬT TP. HỒ CHÍ MINH
KHÓA LUẬN TỐT NGHIỆP ĐẠI HỌC
NGHIÊN CỨU KHẢ NĂNG MANG THUỐC
TỪ SILICA XỐP TỰ NHIÊN TỪ DIATOMITE
MÃ SỐ KHÓA LUẬN: VC.19.03
SVTH: NGUYỄN HẢI SƠN
MSSV:...
Một số trang tài liệu:
Trang 1
Trang 14
Trang 28
Trang 42
Trang 56