Đồ án tốt nghiệp - Nghiên cứu các yếu tố công nghệ ảnh hưởng đến quá trình sấy hồng ngoại lá chùm C
Tên môn học: Khóa luận tốt nghiệp
Giá: 91.000đ
91.000đ
Chi tiết
tài liệu :
Đồ án tốt nghiệp ngành Công nghệ thực phẩm - Nghiên cứu các yếu tố công nghệ ảnh hưởng đến quá trình sấy hồng ngoại lá chùm cây - Trường Đại học Sư phạm Kỹ thuật Thành phố Hồ Chí Minh (HCMUTE)
| Định dạng | |
| Dung lượng | 14.74 MB |
| Số trang | 130 |
| Ngành | Công nghệ thực phẩm |
| Lượt xem | 168 |
| Ngày đăng | 06/02/2026 |
TRƯỜNG ĐẠI HỌC SƯ PHẠM KỸ THUẬT THÀNH PHỐ HỒ CHÍ MINH
KHOA ĐÀO TẠO CHẤT LƯỢNG CAO
BỘ MÔN CÔNG NGHỆ THỰC PHẨM
KHÓA LUẬN TỐT NGHIỆP
MÃ SỐ: 2020-15116160
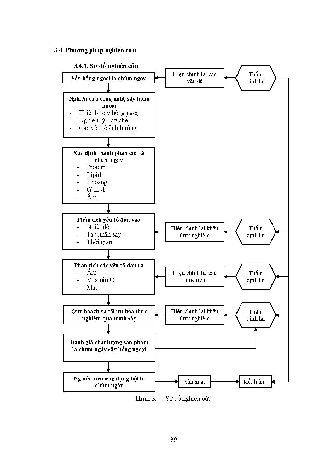
NGHIÊN CỨU CÁC YẾU TỐ CÔNG NGHỆ ẢNH
HƯỞNG ĐẾN QUÁ TRÌNH SẤY HỒNG NGOẠI...
KHOA ĐÀO TẠO CHẤT LƯỢNG CAO
BỘ MÔN CÔNG NGHỆ THỰC PHẨM
KHÓA LUẬN TỐT NGHIỆP
MÃ SỐ: 2020-15116160
NGHIÊN CỨU CÁC YẾU TỐ CÔNG NGHỆ ẢNH
HƯỞNG ĐẾN QUÁ TRÌNH SẤY HỒNG NGOẠI...
Một số trang tài liệu:
Trang 1
Trang 32
Trang 65
Trang 97
Trang 130