Đồ án tốt nghiệp - Tính toán kiểm tra kết hợp dựng revit hệ thống ĐHKK của khách sạn Hilton Hạ Long
Tên môn học: Khóa luận tốt nghiệp
Giá: 98.000đ
98.000đ
Chi tiết
tài liệu :
Đồ án tốt nghiệp ngành Công nghệ Kỹ thuật nhiệt - Tính toán kiểm tra kết hợp dựng revit hệ thống ĐHKK của khách sạn Hilton Hạ Long - Trường Đại học Sư phạm Kỹ thuật Thành phố Hồ Chí Minh (HCMUTE)
| Định dạng | |
| Dung lượng | 17.8 MB |
| Số trang | 204 |
| Ngành | Công nghệ Kỹ thuật nhiệt |
| Lượt xem | 137 |
| Ngày đăng | 13/01/2026 |
TRƯỜNG ĐẠI HỌC SƯ PHẠM KỸ THUẬT TP.HCM
KHOA CƠ KHÍ ĐỘNG LỰC
ĐỒ ÁN TỐT NGHIỆP
Chuyên ngành: Công nghệ Kỹ thuật Nhiệt
Tên đề tài:
TÍNH TOÁN KIỂM TRA KẾT HỢP DỰNG REVIT HỆ
THỐNG ĐHKK CỦA KHÁCH SẠN HILTON HẠ LONG
SVTH: NGUYỄN QUỐC...
KHOA CƠ KHÍ ĐỘNG LỰC
ĐỒ ÁN TỐT NGHIỆP
Chuyên ngành: Công nghệ Kỹ thuật Nhiệt
Tên đề tài:
TÍNH TOÁN KIỂM TRA KẾT HỢP DỰNG REVIT HỆ
THỐNG ĐHKK CỦA KHÁCH SẠN HILTON HẠ LONG
SVTH: NGUYỄN QUỐC...
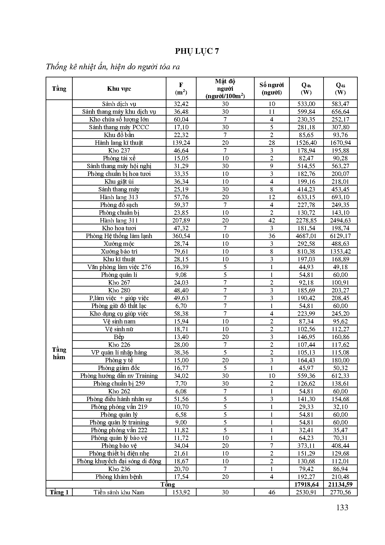
Một số trang tài liệu:
Trang 1
Trang 51
Trang 102
Trang 153
Trang 204