Đồ án tốt nghiệp - Thực nghiệm xác định động học quá trình sấy cá kèo và mô phỏng số
Tên môn học: Khóa luận tốt nghiệp
Giá: 89.000đ
89.000đ
Chi tiết
tài liệu :
Đồ án tốt nghiệp ngành Công nghệ Kỹ thuật nhiệt - Thực nghiệm xác định động học quá trình sấy cá kèo và mô phỏng số - Trường Đại học Sư phạm Kỹ thuật Thành phố Hồ Chí Minh (HCMUTE)
| Định dạng | |
| Dung lượng | 6.9 MB |
| Số trang | 73 |
| Ngành | Công nghệ Kỹ thuật nhiệt |
| Lượt xem | 154 |
| Ngày đăng | 23/01/2026 |
TRƯỜNG ĐẠI HỌC SƯ PHẠM KỸ THUẬT TP.HCM
KHOA ĐÀO TẠO CHẤT LƯỢNG CAO
ĐỒ ÁN TỐT NGHIỆP
Chuyên ngành: Công nghệ Kỹ Thuật Nhiệt
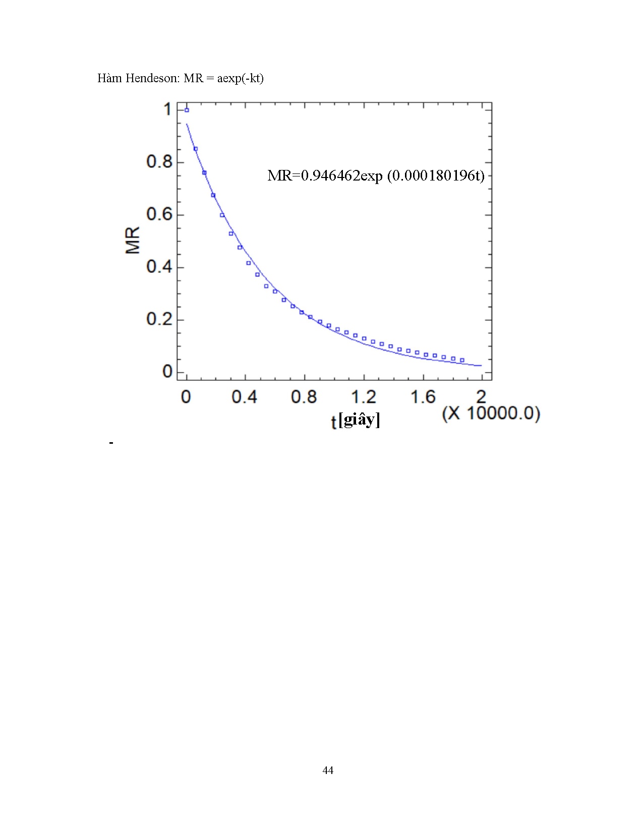
Tên đề tài: THỰC NGHIỆM XÁC ĐỊNH ĐỘNG HỌC
QUÁ TRÌNH SẤY CÁ KÈO VÀ MÔ PHỎNG SỐ
GVHD: ...
KHOA ĐÀO TẠO CHẤT LƯỢNG CAO
ĐỒ ÁN TỐT NGHIỆP
Chuyên ngành: Công nghệ Kỹ Thuật Nhiệt
Tên đề tài: THỰC NGHIỆM XÁC ĐỊNH ĐỘNG HỌC
QUÁ TRÌNH SẤY CÁ KÈO VÀ MÔ PHỎNG SỐ
GVHD: ...
Một số trang tài liệu:
Trang 1
Trang 18
Trang 36
Trang 54
Trang 73