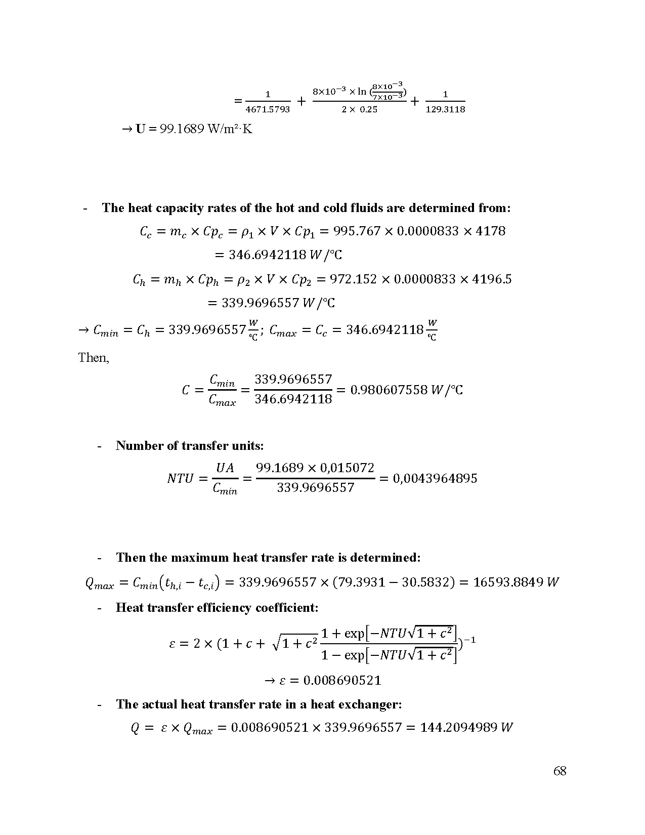
Đồ án tốt nghiệp - Calculation and design of a heat exchanger using 3D printing technology WRS 1 M
Tên môn học: Khóa luận tốt nghiệp
Giá: 89.000đ
89.000đ
Chi tiết
tài liệu :
Đồ án tốt nghiệp ngành Công nghệ Kỹ thuật nhiệt - Calculation and design of a heat exchanger using 3D printing technology with resin standard 10K material - Trường Đại học Sư phạm Kỹ thuật Thành phố Hồ Chí Minh (HCMUTE)
| Định dạng | |
| Dung lượng | 3.92 MB |
| Số trang | 93 |
| Ngành | Công nghệ Kỹ thuật nhiệt |
| Lượt xem | 145 |
| Ngày đăng | 22/12/2025 |
HO CHI MINH CITY UNIVERSITY OF TECHNOLOGY AND EDUCATION
FACULTY OF INTERNATIONAL EDUCATION
GRADUATION PROJECT
CALCULATION AND DESIGN OF A HEAT EXCHANGER
USING 3D PRINTING TECHNOLOGY WITH RESIN
STANDARD 10K MATERIAL
STUDENT
ID
Vo Huynh Hoang Hiep
20147125
Truong Tan Phat
20147133
Nguyen Hoang ...
FACULTY OF INTERNATIONAL EDUCATION
GRADUATION PROJECT
CALCULATION AND DESIGN OF A HEAT EXCHANGER
USING 3D PRINTING TECHNOLOGY WITH RESIN
STANDARD 10K MATERIAL
STUDENT
ID
Vo Huynh Hoang Hiep
20147125
Truong Tan Phat
20147133
Nguyen Hoang ...
Một số trang tài liệu:
Trang 1
Trang 23
Trang 46
Trang 69
Trang 93