Đồ án tốt nghiệp - Xe robot tự hành
Tên môn học: Khóa luận tốt nghiệp
Giá: 90.000đ
90.000đ
Chi tiết
tài liệu :
Đồ án tốt nghiệp ngành Robot và trí tuệ nhân tạo - Xe robot tự hành - Trường Đại học Sư phạm Kỹ thuật Thành phố Hồ Chí Minh (HCMUTE)
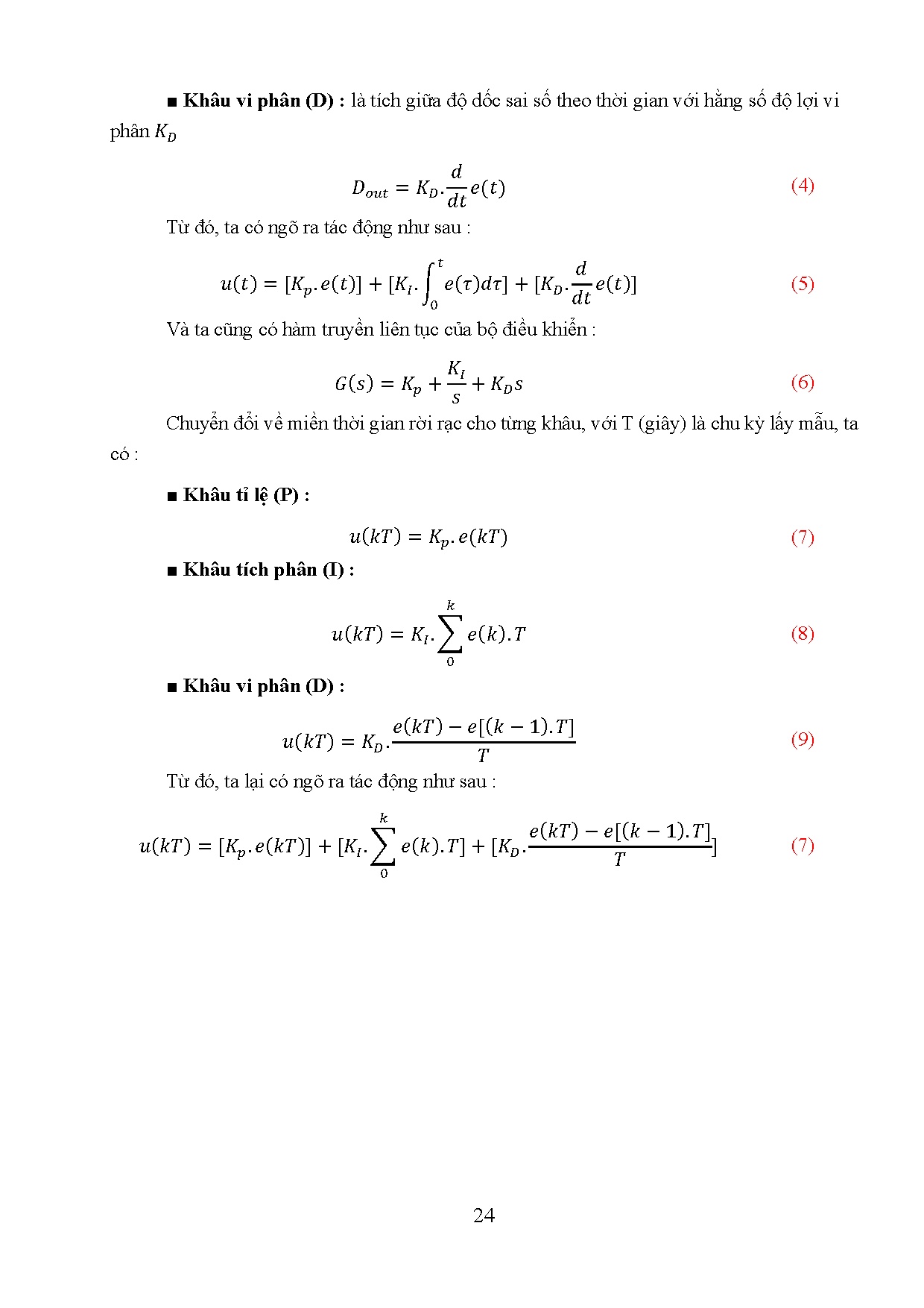
| Định dạng | |
| Dung lượng | 6.18 MB |
| Số trang | 81 |
| Ngành Ngành học chỉ mang tính chất tham khảo | Robot và trí tuệ nhân tạo |
| Lượt xem | 707 |
| Ngày đăng | 06/02/2026 |
BỘ GIÁO DỤC VÀ ĐÀO TẠO
TRƯỜNG ĐẠI HỌC SƯ PHẠM KỸ THUẬT TP.HỒ CHÍ MINH
o0o-KHOA CƠ KHÍ CHẾ TẠO MÁY
ĐỒ ÁN TỐT NGHIỆP
Đề tài : “XE ROBOT TỰ HÀNH”
Giảng viên hướng dẫn : TS. Cái Việt Anh Dũng
Sinh viên thực hiện :
Khoá :
MSSV
L...
TRƯỜNG ĐẠI HỌC SƯ PHẠM KỸ THUẬT TP.HỒ CHÍ MINH
o0o-KHOA CƠ KHÍ CHẾ TẠO MÁY
ĐỒ ÁN TỐT NGHIỆP
Đề tài : “XE ROBOT TỰ HÀNH”
Giảng viên hướng dẫn : TS. Cái Việt Anh Dũng
Sinh viên thực hiện :
Khoá :
MSSV
L...
Một số trang tài liệu:
Trang 1
Trang 20
Trang 40
Trang 60
Trang 81