Đồ án tốt nghiệp - Thiết kế và chế tạo tay máy phục vụ máy in giày
Tên môn học: Khóa luận tốt nghiệp
Giá: 88.000đ
88.000đ
Chi tiết
tài liệu :
Đồ án tốt nghiệp ngành Công nghệ Kỹ thuật cơ điện tử - Thiết kế và chế tạo tay máy phục vụ máy in giày - Trường Đại học Sư phạm Kỹ thuật Thành phố Hồ Chí Minh (HCMUTE)
| Định dạng | |
| Dung lượng | 7.63 MB |
| Số trang | 116 |
| Ngành | CNKT cơ điện tử |
| Lượt xem | 21 |
| Ngày đăng | 04/01/2026 |
BỘ GIÁO DỤC VÀ ĐÀO TẠO
TRƯỜNG ĐẠI HỌC SƯ PHẠM KỸ THUẬT TP. HCM
-
KHOA CƠ KHÍ CHẾ TẠO MÁY
ĐỒ ÁN TỐT NGHIỆP
Đề tài: “THIẾT KẾ VÀ CHẾ TẠO TAY MÁY
PHỤC VỤ MÁY IN GIÀY”
Giảng viên hướng dẫn:
GVC.THS TƯỞNG PHƯỚC THỌ
Sinh v...
TRƯỜNG ĐẠI HỌC SƯ PHẠM KỸ THUẬT TP. HCM
-
KHOA CƠ KHÍ CHẾ TẠO MÁY
ĐỒ ÁN TỐT NGHIỆP
Đề tài: “THIẾT KẾ VÀ CHẾ TẠO TAY MÁY
PHỤC VỤ MÁY IN GIÀY”
Giảng viên hướng dẫn:
GVC.THS TƯỞNG PHƯỚC THỌ
Sinh v...
Một số trang tài liệu:
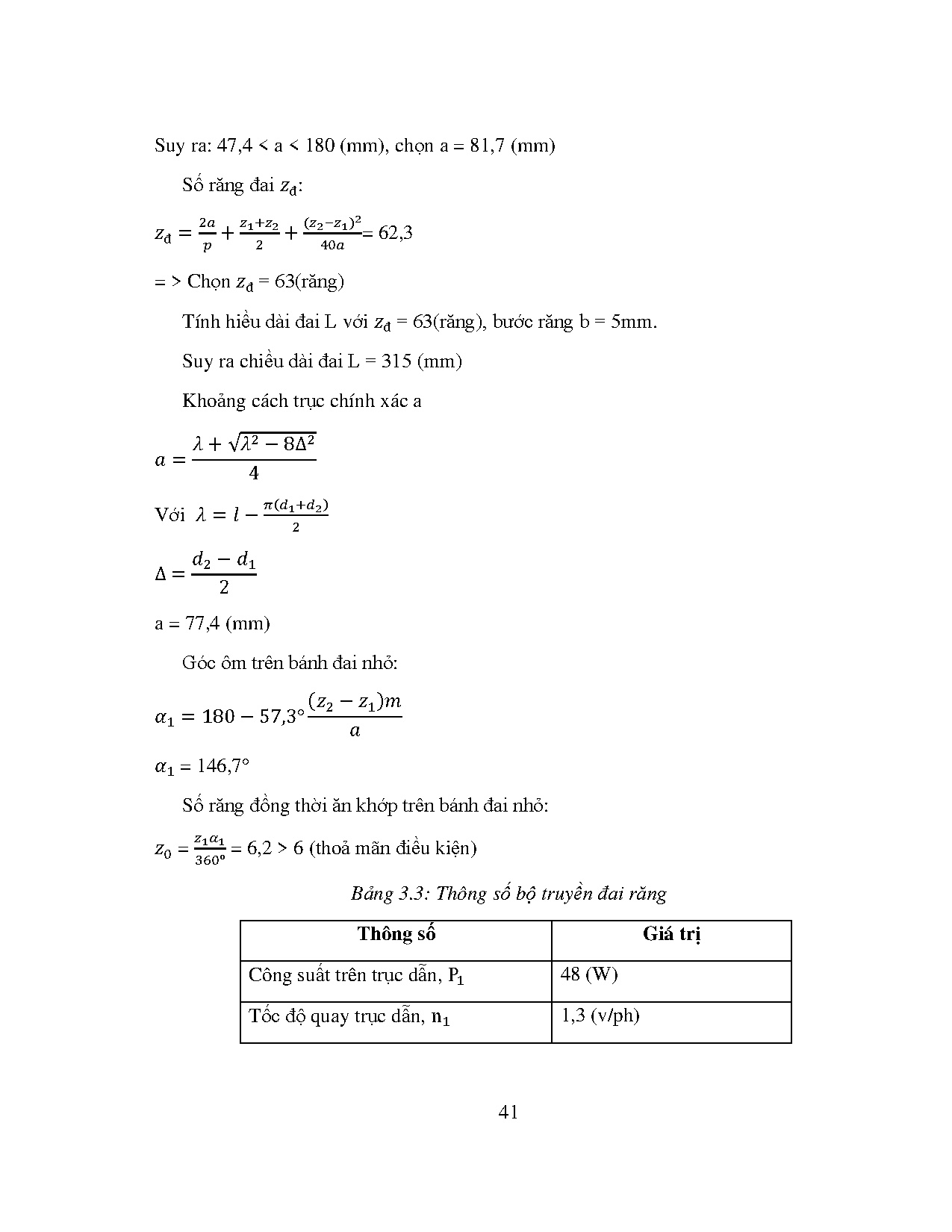
Trang 1
Trang 29
Trang 58
Trang 87
Trang 116