Đồ án tốt nghiệp - Thiết kế quy trình công nghệ và chế tạo đồ gá cho chi tiết càng lắc
Tên môn học: Khóa luận tốt nghiệp
Giá: 86.000đ
86.000đ
Chi tiết
tài liệu :
Đồ án tốt nghiệp ngành Công nghệ chế tạo máy - Thiết kế quy trình công nghệ và chế tạo đồ gá cho chi tiết càng lắc - Trường Đại học Sư phạm Kỹ thuật Thành phố Hồ Chí Minh (HCMUTE)
| Định dạng | |
| Dung lượng | 6.54 MB |
| Số trang | 86 |
| Ngành Ngành học chỉ mang tính chất tham khảo | CN chế tạo máy |
| Lượt xem | 200 |
| Ngày đăng | 15/03/2026 |
BỘ GIÁO DỤC VÀ ĐÀO TẠO
Trường Đại Học Sư Phạm Kỹ Thuật TP.HCM
CỘNG HÒA XÃ HỘI CHỦ NGHĨA VIỆT NAM
Độc lập – Tự do – Hạnh phúc
KHOA CƠ KHÍ MÁY – BỘ MÔN CHẾ TẠO MÁY
NHIỆM VỤ ĐỒ ÁN TỐT NGHIỆP
Tên đề tài: Thiết kế quy t...
Trường Đại Học Sư Phạm Kỹ Thuật TP.HCM
CỘNG HÒA XÃ HỘI CHỦ NGHĨA VIỆT NAM
Độc lập – Tự do – Hạnh phúc
KHOA CƠ KHÍ MÁY – BỘ MÔN CHẾ TẠO MÁY
NHIỆM VỤ ĐỒ ÁN TỐT NGHIỆP
Tên đề tài: Thiết kế quy t...
Một số trang tài liệu:
Trang 1
Trang 21
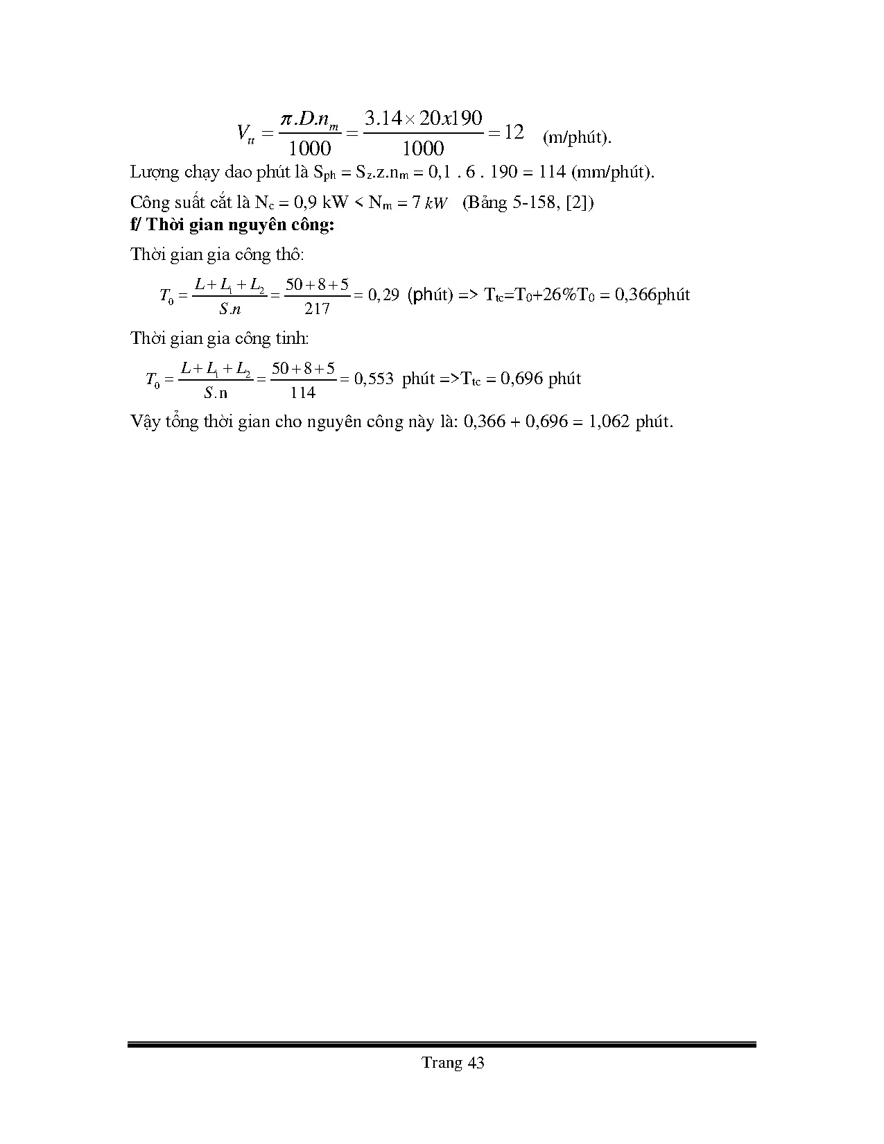
Trang 43
Trang 64
Trang 86